Startseite » Alopecia Areata » Alopecia Areata » Haarmineralanalyse ?
Anzeigen: Heutige Beiträge :: Umfragen :: Beitragsnavigator
Zur Baumansicht dieses Themas wechseln Ein neues Thema erstellen Antwort abschicken
Haarmineralanalyse ? [Beitrag #11697] :: Sa., 22 September 2012 20:33 Zum nächsten Beitrag gehen
Hi Leute,

hat jmd von euch (soweit noch einige Haare vorhanden) schon mal eine Haarmineralanalyse gemacht ?

Wenn ja:

- Kosten ?
- Empfehlungen ?
- Daraus resultierende Erfolge ?

Ich bin durch ein Buch auf diese Sache gekommen.
Ich habe am Anfang meiner AA mal ein großes Blutbild gemacht, in dem angeblich alles in Ordnung war, außer der erhöhten Harnsäure.
Ich würde das eben gerne mal testen, da bei einer Haaranalyse, nicht wie bei einer Blutprobe nur der aktuelle Status von bestimmten Werten ermittelt wird, sondern in einem Zeitraum von 3-4 Monaten die Werte überblickt werden. Also hört sich für mich an, als würde man dadurch einen guten Einblick in seine Spurenelemente und Schadstoffe im Körper bekommen.
Abgesehen von den Haaren betreffenden Spurenelementen würde mich auch der Eisengehalt interessieren, weil ich seit Anfang des Jahres Veggie bin.

Was meint ihr ??
Würde mich über viiiele Antworten freuen Smile




... think positive Smile

Den Beitrag einem Moderator melden

Aw: Haarmineralanalyse ? [Beitrag #11758 ist eine Antwort auf Beitrag #11697] :: Mo., 01 Oktober 2012 20:49 Zum vorherigen Beitrag gehenZum nächsten Beitrag gehen
Ok, keine Erfahrungen damit...

Ich habe mir jetzt mal eine Anleitung dazu schicken lassen. Muss dann ein paar Haare abschnippeln und in einem Tütchen zurückschicken. Es werden 30 Stoffe analysiert.

Wenn ich das gemacht habe und dann i.wann das Ergebnis zurückbekomme, sage ich euch Bescheid. Vllt sind ja i.welche Auffälligkeiten dabei, die auch den ein oder anderen von euch betreffen bzw betreffen könnten.

LG Smile

PS. Kostet etz 90 Euro.




... think positive Smile

Den Beitrag einem Moderator melden

Aw: Haarmineralanalyse ? [Beitrag #11776 ist eine Antwort auf Beitrag #11697] :: Do., 04 Oktober 2012 12:21 Zum vorherigen Beitrag gehenZum nächsten Beitrag gehen
Hallo,

ich habe mal so eine Haarmineralanalyse 2003 gemacht. Das Ergebnisblatt stell ich hier rein, man sieht schon Abweichungen, habe dann auch Nahrungsergänzungsmittel bekommen, Haare sind gewachsen, aber nicht so lange geblieben^^ es wäre jetzt natürlich interessant nochmal eine Haarmineralanalyse machen zu lassen, um zu sehen, ob sich was in den 10 Jahren geändert hat!

Der grüne Bereich ist der Normbereich!

[Aktualisiert am: Do., 04 Oktober 2012 12:23]


Den Beitrag einem Moderator melden

Aw: Haarmineralanalyse ? [Beitrag #11786 ist eine Antwort auf Beitrag #11697] :: Do., 04 Oktober 2012 16:54 Zum vorherigen Beitrag gehenZum nächsten Beitrag gehen
Hi Lenschn Wink

Das ist ja interessant. Selenmangel... darüber wird hier im Forum ja auch diskutiert.
Aber krass, dass du so nen hohen Calciumwert hattest. Und Kupfer und Zink. Diese Stoffe braucht man ja eigtl auch unter anderem für die Haare. Aber vllt nicht im Übermaß...

Ich habe mein Päckchen noch nicht bekommen. Bin sehr gespannt.
Vllt habe ich ja ein paar Übereinstimmungen mit dir.

Sind dann deine Haare durch Selen(it)-Einnahme gewachsen ?
Wäre echt interessant, wieder so etwas zu machen. Wie dein Stand nun so ist. Wie sieht es denn mit deinen Haaren momentan aus ?

LG Smile




... think positive Smile

Den Beitrag einem Moderator melden

Aw: Haarmineralanalyse ? [Beitrag #11795 ist eine Antwort auf Beitrag #11697] :: Do., 04 Oktober 2012 19:20 Zum vorherigen Beitrag gehenZum nächsten Beitrag gehen
Hallo nochmal,

also es ist eher umgekehrt, ich hatte zuviel Selen in den Haaren und zuwenig Mg, Mn, Ca...weil ich dann eben diese Nahrungsergänzungsmittel bekommen habe, ist schon lange her Wink aber auf Selen wurde nicht so eingegangen, ich weiss nicht recht was das bedeutet, zu viel Selen in den Haaren...ich bin mal gespannt was bei dir rauskommt! Vllt lasse ich dann auch nochmal sowas machen. Also die Haare sind danach gewachsen, aber das hat dann nur 3 Jahre oder so gehalten. Mittlerweile mache ich nur noch die Knoblauchmethode und bisher wirkts ganz gut, Viviscal nehme ich auch noch zusätzlich...mal schaun, nach nem kompletten "Kahlschlag" vor fast 2 Jahren, bin ich jetzt wieder ganz gut dabei Smile berichte doch bitte über deine Ergebnisse, sobald du mehr weißt, irgendwie hat das Thema jetzt auch bei mir Interesse geweckt Smile


Den Beitrag einem Moderator melden

Aw: Haarmineralanalyse ? [Beitrag #11796 ist eine Antwort auf Beitrag #11697] :: Do., 04 Oktober 2012 19:22 Zum vorherigen Beitrag gehenZum nächsten Beitrag gehen
achja: aber ein Selenmangel wurde bei mir schon mal im Blut festgestellt... Shocked
hab ne Zeit lang Selen erfolglos genommen...


Den Beitrag einem Moderator melden

Aw: Haarmineralanalyse ? [Beitrag #11801 ist eine Antwort auf Beitrag #11697] :: Fr., 05 Oktober 2012 15:47 Zum vorherigen Beitrag gehenZum nächsten Beitrag gehen
Hi Smile

Achso .. upps Very Happy
Dachte, dass Selenmangel ist, da es negativ dargestellt ist. (=zu wenig)
Naja gut, man muss das Ding auch richtig lesen können, um damit was anzufangen Very Happy
Hatte mich ja schon gewundert, wegen Kupfer usw. Very Happy

Naja, etz weis ichs ja Smile

Mein Päckchen is noch nicht da Sad Also ich muss dann da erst mal Haare abschnippeln und zurückschicken, kann sich also noch hinziehen.
Ich bin aber auch schon voll gespannt. Ich hoffe, es ist was brauchbares und auch erklärbares dabei.
LG Smile




... think positive Smile

Den Beitrag einem Moderator melden

Aw: Haarmineralanalyse ? [Beitrag #11833 ist eine Antwort auf Beitrag #11697] :: Di., 09 Oktober 2012 17:37 Zum vorherigen Beitrag gehenZum nächsten Beitrag gehen
Huhu Smile

Habe gestern mein Päckchen bekommen. Heute früh habe ich dann ein klein wenig meiner Haare abgeschnippelt und zur Post gebracht.
Soll jetzt ungefähr 2 Wochen dauern, bis das Ergebnis kommt.
Bin echt gespannt.

Und es war furchtbar, mir Haare abzuschneiden. Habe gleich welche von den neuen kleinen genommen, da diese eh nur so 3-5 cm lang sind. Das fehlt dann nicht in den Längen. Aber schon echt komisch, sich Haare abzuschneiden, über die man sich so gefreut hat, dass sie wieder da sind Sad( Aber naja, ich hoffe es hat mich weitergebracht und es kommt ein gutes Ergebnis raus. Wobei ich "gut" nicht so recht definieren kann - in diesem Fall.

Soll ich mir wünschen, dass alles paletti ist ? Aber es dann wiederum kein Fünkchen Hoffnung gibt, was noch zum Haarausfall gefürht hat.
Oder soll ich hoffen, dass ganz viele Werte schlecht sind, was eigtl scheise wäre, weil ich dann so viele Präparate einnehmen müsste.

Ich schätze mal ein paar Werte werden schon von der Norm abweichen, wie zB Zink, Calcium und Eisen.
Mal abwarten.

LG Smile




... think positive Smile

Den Beitrag einem Moderator melden

Aw: Haarmineralanalyse ? [Beitrag #11998 ist eine Antwort auf Beitrag #11697] :: Di., 06 November 2012 15:44 Zum vorherigen Beitrag gehenZum nächsten Beitrag gehen
Hallo guggl,

gibts schon was neues bei dir von der Haarmineralanalyse?

LG


Den Beitrag einem Moderator melden

Aw: Haarmineralanalyse ? [Beitrag #12002 ist eine Antwort auf Beitrag #11697] :: Mi., 07 November 2012 08:37 Zum vorherigen Beitrag gehenZum nächsten Beitrag gehen
Huhu Smile

Nein, leider noch nicht. Es kam zu Verzögerungen.
Ich habe die Analyse über eine Versandapotheke bezogen.
Die Haarprobe dann an das Analyse-Labor geschickt.
Dann hab ich gewartet .. und gewartet.
Dann das Labor angeschrieben, wann ich mit dem Ergebnis rechnen kann.
Daraufhin wurde mir gesagt, sie hätten das Ergebnis an die Versandapotheke geschickt und ich soll dort nachfragen, ob sie es für mich bereit hätten. Das habe ich dann gemacht, erst per E-Mail, dann gestern telefonisch. Dort hat man mir gesagt, sie hätten nichts für mich bekommen.
Jetzt habe ich dem Labor nochmal ne Mail geschickt, weil sie gemeint haben, ich soll mich nochmal melden, falls die Versandapotheke mein Ergebnis nicht hätte.
Ein Stress ....
Ich hoffe, ich habe es bald. Ich bin doch sooo neugierig !

Lg Smile




... think positive Smile

Den Beitrag einem Moderator melden

Aw: Haarmineralanalyse ? [Beitrag #12007 ist eine Antwort auf Beitrag #11697] :: Mi., 07 November 2012 14:12 Zum vorherigen Beitrag gehen
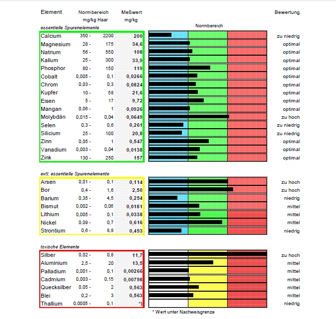
Ok... letztendlich habe ich sie bekommen Smile Gleich als 36seitiges PDF.
Habe das Ergebnis rausgezogen.
Das mit Silber ist i.wie erschreckend .... :/
Ist schon ein sehr hoher Wert.
Gut, ich mach mich mal an die Lektüre ... Dann kann ich später nochmal schreiben, was so drin steht.
LG Smile




... think positive Smile

Den Beitrag einem Moderator melden

Zur Baumansicht dieses Themas wechseln Ein neues Thema erstellen Antwort abschicken
Vorheriges Thema: Selbsthilfegruppen... ?! & Meine Geschichte der AA
Nächstes Thema: ich brauch mal eure hilfe
Gehe zum Forum:
  

3 wichtige Regeln
Auch wenn der Haarverlust nervt - Es gibt so viele schöne Dinge im Leben und viel schlimmere Sachen.


Die Wissenschaft und Medizin kann das Problem heute in den meisten Fällen NICHT wirklich lösen. Aufgeben gibt es nicht, denn ein bischen Glück gehört dazu - und die Chance auf eine Heilung wächst jeden Tag. Never give up.


Informiere Dich ! Dann bist Du ein respektierter Partner und Gesprächspartner für Deinen Arzt. Glaube nicht er weiss alles - aber trau auch nicht jedem Wort aus dem Internet. Unsere ausführlichen Beiträge findest Du unter Kreisrunder Haarausfall Infos