|
|
Re: Dutasterid und Dosierung.... [Beitrag #9187 ist eine Antwort auf Beitrag #9157] :: Do., 26 Januar 2006 16:12 
|
Kerl1979
Beiträge: 208 Registriert: Januar 2006
|
War zu dumm zum Posten. Siehe bitte nächsten Eintrag.
[Aktualisiert am: Do., 26 Januar 2006 16:16]
2* Sägepalme 320mg(APO),Biotin,Zink+C,Vitamin B-Komplex,Eisen,2* 2El Leinsamen,Green+IngwerTea,
Brennessel- und Birkenhaarwasser, Suesssgraskapseln
|
|
Den Beitrag einem Moderator melden
|
|
Re: Dutasterid und Dosierung.... [Beitrag #9188 ist eine Antwort auf Beitrag #9157] :: Do., 26 Januar 2006 16:15 
|
Kerl1979
Beiträge: 208 Registriert: Januar 2006
|
| birmacat schrieb am Don, 26 Januar 2006 13:03 | Hi Leutz
Bis jetzt bin ich eigentlich zufrieden, wundere mich aber schon etwas über die Dosierung. Ich nehme jetzt nämlich nur noch 1 Kapsel, d.h. 0.5mg Dutasterid pro Woche. Scheint mir etwas wenig zu sein. Ich möchte nicht, dass sich der Haarausfall dann mit der Zeit schleichend wieder einstellt. Was meint Ihr dazu?
Ausserdem würde es mich interessieren, wie Ihr zu den Anti-Avodart-Aussagen auf usa-direkt.de steht.
|
Habe hier was gefunden. Bezieht sich wohl auf die grössere Halbwertszeit.
Wirkweise: Bei der Progression der BPH nimmt das Hormon Dihydrotestosteron (DHT) eine wichtige Funktion ein. DHT wird über das Enzym 5-alpha-Reduktase aus dem Sexualhormon Testosteron gebildet. 5-alpha-Reduktase-Hemmer Dutasterid (Avodart®) blockiert die Umwandlung von Testosteron zu DHT. Dutasterid (Avodart®) hat eine lange Halbwertszeit von drei bis fünf Wochen, Finasterid (Proscar®) von sechs bis acht Stunden.
2* Sägepalme 320mg(APO),Biotin,Zink+C,Vitamin B-Komplex,Eisen,2* 2El Leinsamen,Green+IngwerTea,
Brennessel- und Birkenhaarwasser, Suesssgraskapseln
|
|
Den Beitrag einem Moderator melden
|
|
|
|
|
|
Re: Dutasterid und Dosierung.... [Beitrag #9236 ist eine Antwort auf Beitrag #9220] :: Do., 26 Januar 2006 20:21 
|
pilos
Beiträge: 27668 Registriert: November 2005 Ort: Ausland
Power Member ***** Top-User
|
| birmacat schrieb am Don, 26 Januar 2006 19:15 | Hallo nochmals
Vielen Dank für die Antworten. Wegen der Halbwertszeit kann ich das nicht so ganz einordnen. Bedeutet denn eine längere Halbwertszeit automatisch auch eine längere Wirkung? Falls ja, würde die Gesamtdosis bei einer täglichen - ja sogar wöchentlichen - Dosis von Dutasterid ja immer und immer und immer höher. Irgendwann müsste es dann fast zu den Ohren rauslaufen..... oder verstehe ich da was komplett falsch?
Gruss,
birmacat
|
sagen wir du nimmst wöchentlich 0,5 mg und wir rechnen mit einer halbwertseit von 5 wochen....dann sieht es so aus (falls ich mich nicht verrechnet haben sollte lieber ein statistiker noch mal nachfragen..!)........menge dutasteride im körper nach 6 einnahmen 1/woche.
0,5... 0,49
....... 0,49
....... 0,48
....... 0,47
....... 0,46
....... 0,46
....... 0,45
0,5 0,94
....... 0,93
....... 0,91
....... 0,90
....... 0,89
....... 0,87
....... 0,86
0,5 1,34
....... 1,32
....... 1,30
....... 1,28
....... 1,26
....... 1,24
....... 1,21
0,5 1,69
....... 1,66
....... 1,64
....... 1,61
....... 1,58
....... 1,55
....... 1,52
0,5 1,99
....... 1,96
....... 1,92
....... 1,89
....... 1,85
....... 1,81
....... 1,78
0,5 2,28
nach einer gewissen zeit pendelt sich das irgendwo ein...nach X wochen wo es dann konstant bleibt...genauer bei 60 tage sind es dann cca 3 mg dauerhaft bleibend....
[Aktualisiert am: Do., 26 Januar 2006 20:26]
|
|
Den Beitrag einem Moderator melden
|
|
|
|
|
|
|
|
|
|
|
|
|
|
Re: Dutasterid und Dosierung.... [Beitrag #9408 ist eine Antwort auf Beitrag #9362] :: Fr., 27 Januar 2006 20:23 
|
birmacat
Beiträge: 5 Registriert: Januar 2006
|
Ich bin damit bis jetzt sehr zufrieden. Verbesserung erwarte ich eigentlich nicht - ich gehe davon aus, dass das was tot ist, einfach tot ist. Aber das, was ich habe, kann ich behalten. Und da hat sich auch nichts verschlechtert. Deshalb muss ich bis jetzt sagen: sehr zufrieden. Es kam einfach nur die Angst auf, die Dosierung könnte zu klein sein, und dadurch längerfristig eine Verschlechterung auftreten. Ich habe gelesen, die Dosierung müsste 0.5mg pro TAG sein, und nicht pro Woche. Aber eben, wer ist sich da schon einig.... ich werde auf jeden Fall meinen Arzt genauer darüber befragen, wenn ich das nächste Mal bei ihm bin - ich berichte dann gerne über seine Ausführungen!
|
|
Den Beitrag einem Moderator melden
|
|
|
|
|
|
|
|
Aw: Dutasterid und Dosierung.... [Beitrag #359014 ist eine Antwort auf Beitrag #359009] :: Di., 01 März 2016 01:00
|
|
|
John13 schrieb am Mon, 29 February 2016 23:14Tut mir leid, dass ich so ein altes Thread wieder hervorhole.
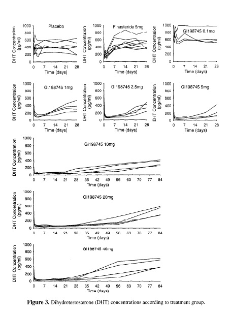
Weiss jemand wie der DHT Spiegel, nach einer einmaligen Dut 0.5mg Einnahme aussieht, also wann sollte theoretisch der DHT Level wieder zurück sein? (auf 0% Senkung) Gibt dazu vielleicht ne Grafik?
Vielen Dank.
Für einzelne Dosen habe ich nur die folgenden Diagramme finden können. Leider nicht für 0,5mg, aber die Graphen der anderen Dosen dürften einen ausreichenden Eindruck vermitteln. Entnommen aus Gisleskog et al. 1998 (S. 641), eine der aussagekräftigsten Studien zu Dutasterid (GI198745).
http://www.ncbi.nlm.nih.gov/pubmed/9871428
"Der Plural von 'Anekdote' ist nicht 'Evidenz'."
- Alan I. Leshner
|
|
Den Beitrag einem Moderator melden
|
|