Aw: Dutasterid oral E5D [Beitrag #328946 ist eine Antwort auf Beitrag #328944] :: Mo., 02 März 2015 17:40 
|
Eels
Beiträge: 250 Registriert: September 2013
|
Eels schrieb am Mon, 02 March 2015 17:21 Sorry vielleicht sitz ich einwenig auf dem Schlauch,Teilen der Avo Gelkapseln.Wie geht das denn?
Also geht natürlich schon.Aber Flüssigkeit(Gel)im innern der Kapsel läuft ja raus.
RU 2-3mal wöchentlich
FIN 2mal/1mg wöchentlich
Biotin
D3/K2
Zink/Kupfer
Eisen
Selen
Vitamin A
L Arginin L Citrullin
Omega 3
|
|
Den Beitrag einem Moderator melden
|
|
|
|
Aw: Dutasterid oral E5D [Beitrag #328948 ist eine Antwort auf Beitrag #328946] :: Mo., 02 März 2015 17:49 
|
mike.
Beiträge: 8591 Registriert: Juli 2011
Power Member ***** Top-User
|
Eels schrieb am Mon, 02 March 2015 17:40Eels schrieb am Mon, 02 March 2015 17:21 Sorry vielleicht sitz ich einwenig auf dem Schlauch,Teilen der Avo Gelkapseln.Wie geht das denn?
Also geht natürlich schon.Aber Flüssigkeit(Gel)im innern der Kapsel läuft ja raus.
Hallo Eels und Eels.
Eels hat ja schon die Frage von Eels richig beantwortet... das (G)El(s) läuft raus..
darum nehme man eine Tablette anstatt den (G)Eelskapseln...
Ich gebe Tipps, wie ich selber vorgehen würde... Ich bin kein Arzt und übernehme keine Haftung! Jeder ist für sein handeln selber verantwortlich! Denken dann machen!
Ältere Posts sind teilweise mittlerweile ungültig/mit Vorsicht zu genießen... ich lerne dazu und revidiere mit der Zeit meine Aussagen...
"Was wir brauchen, sind ein paar verrückte Leute; seht euch an, wohin uns die Normalen gebracht haben." - George Bernard Shaw
|
|
Den Beitrag einem Moderator melden
|
|
|
|
Aw: Dutasterid oral E5D [Beitrag #328952 ist eine Antwort auf Beitrag #328949] :: Mo., 02 März 2015 18:56 
|
mike.
Beiträge: 8591 Registriert: Juli 2011
Power Member ***** Top-User
|
Eels schrieb am Mon, 02 March 2015 17:57 danke mike
Ich gebe Tipps, wie ich selber vorgehen würde... Ich bin kein Arzt und übernehme keine Haftung! Jeder ist für sein handeln selber verantwortlich! Denken dann machen!
Ältere Posts sind teilweise mittlerweile ungültig/mit Vorsicht zu genießen... ich lerne dazu und revidiere mit der Zeit meine Aussagen...
"Was wir brauchen, sind ein paar verrückte Leute; seht euch an, wohin uns die Normalen gebracht haben." - George Bernard Shaw
|
|
Den Beitrag einem Moderator melden
|
|
Aw: Dutasterid oral E5D [Beitrag #328954 ist eine Antwort auf Beitrag #328944] :: Mo., 02 März 2015 19:11 
|
pilos
Beiträge: 27693 Registriert: November 2005 Ort: Ausland
Power Member ***** Top-User
|
Eels schrieb am Mon, 02 March 2015 18:21 Sorry vielleicht sitz ich einwenig auf dem Schlauch,Teilen der Avo Gelkapseln.Wie geht das denn?
wozu gibt es die selbsthilfe
http://www.alopezie.de/fud/index.php/m/318036/#msg_318036
Die AGA-Behandlung ist individuell, eine Sache des "Trial And Error". Fasse dich kurz und kompakt bei Fragen... das ist meine Freizeit. Es besteht auch kein Verhältnis zu alopezie.de. ""Ich bin kein Arzt, sondern gebe hier lediglich meine private Meinung wieder; Art.5/GG. Auf Userfragen hin erläutere ich, wie ich persönlich vorgehen würde, wenn ich mich in der selben Lage befände. Bitte stets beachten: 1) Nachmachen auf eigene Gefahr und 2) Meine Vorschläge ersetzen keinen Arztbesuch!""
|
|
Den Beitrag einem Moderator melden
|
|
|
|
|
|
Aw: Dutasterid oral E5D [Beitrag #328974 ist eine Antwort auf Beitrag #328972] :: Mo., 02 März 2015 21:17 
|
Eels
Beiträge: 250 Registriert: September 2013
|
ru-power schrieb am Mon, 02 March 2015 21:08Eels schrieb am Mon, 02 March 2015 20:54pilos schrieb am Mon, 02 March 2015 19:11Eels schrieb am Mon, 02 March 2015 18:21 Sorry vielleicht sitz ich einwenig auf dem Schlauch,Teilen der Avo Gelkapseln.Wie geht das denn?
wozu gibt es die selbsthilfe
http://www.alopezie.de/fud/index.php/m/318036/#msg_318036
Besten Dank Pilos Und das ist ne sichere Sache,wenn man es so macht? Ich nehme mal stark an oder
das bekommt man sogar ohne Pilos und mit Brain hin 
Tja, war eben ein langer und anstrengender Tag heut.Gehirn wohl schon auf stand by Modus eingestellt.Soll schon mal vorkommen
RU 2-3mal wöchentlich
FIN 2mal/1mg wöchentlich
Biotin
D3/K2
Zink/Kupfer
Eisen
Selen
Vitamin A
L Arginin L Citrullin
Omega 3
|
|
Den Beitrag einem Moderator melden
|
|
|
|
Aw: Dutasterid oral E5D [Beitrag #328982 ist eine Antwort auf Beitrag #328981] :: Mo., 02 März 2015 22:39 
|
ru-power
Beiträge: 3827 Registriert: März 2013
|
systemfehler schrieb am Mon, 02 March 2015 22:32Leider sehr verschlechtert. Mein primäres Ziel war immer der Stopp des Haarausfalls. Seit einem Jahr nehme ich Fin und Duta erst seit einem Monat circa. Ich hoffe wirklich, dass Duta noch anschlägt.
das ist wieder typisch.. gleich volle Kanne. Das kann in einem megabösen Shedding enden
NW0/1 seit Anfang 2013 - 30J
-> seit Behandlungsbeginn keine Verschlechterung/stetige Verbesserung
2x pro Woche Ketlotion nach Pilos (mit Dexpanthenol)
täglich: Sebamed Shampoo mit Piroctone Olamine
Meine Story in Kurzform:
https://www.alopezie.de/fud/index.php?t=msg&goto=426342/#msg_426342
abgesetzt: Dutasterid+ Finasterid
|
|
Den Beitrag einem Moderator melden
|
|
|
|
|
|
|
|
|
|
|
|
Aw: Dutasterid oral E5D [Beitrag #329276 ist eine Antwort auf Beitrag #329261] :: Sa., 07 März 2015 15:17 
|
ru-power
Beiträge: 3827 Registriert: März 2013
|
Aristo084 schrieb am Sat, 07 March 2015 11:47Habe jetzt mal 3 tage nicht rasiert und bemerkt, dass es in diesem Bereich ein bisschen kahl bleibt auf beiden Seiten. Dürfte mal nehme ich an von Dut kommen. Siehe roter Pfeil, beide Seiten.
bei mir ist es so dass mein bart eher über die zeit immer dichter wird. Habe einen recht guten ausgeglichenen Bart mittlerweile.
und meine armbehaarung sich so langsam komplett verabschiedet.. nurnoch blonde haare und mengemäßig vll noch 20% von vor 2 Jahren.. die letzten Wochen wurde es krass weniger. Ist mir gestern Abend aufgefallen als ich neben einem Kumpel saß der etwa ähnliche Armbehaarung wie ich hatte hat.. und mich gefragt hat ob ich meine Arme trimme.
beinbehaarung relativ konstant bleibt.. aber auch hier verliere ich massenweise Haare. schätze locker 50-100 pro Tag an den Beinen. Auf dem Kopf dagegen nix..
hauttechnisch ist es bei mir jetzt in der Dutapause leider sogar besser (0 Pickel) als während der Behandlung (da hab ich hin und wieder mal 2-3 pickelschen) und ich sehe fresher aus.
[Aktualisiert am: Sa., 07 März 2015 15:18]
NW0/1 seit Anfang 2013 - 30J
-> seit Behandlungsbeginn keine Verschlechterung/stetige Verbesserung
2x pro Woche Ketlotion nach Pilos (mit Dexpanthenol)
täglich: Sebamed Shampoo mit Piroctone Olamine
Meine Story in Kurzform:
https://www.alopezie.de/fud/index.php?t=msg&goto=426342/#msg_426342
abgesetzt: Dutasterid+ Finasterid
|
|
Den Beitrag einem Moderator melden
|
|
|
|
Aw: Dutasterid oral E5D [Beitrag #329285 ist eine Antwort auf Beitrag #329277] :: Sa., 07 März 2015 15:59 
|
cyclonus
Beiträge: 622 Registriert: Oktober 2012
|
Aristo084 schrieb am Sat, 07 March 2015 15:25dito, keine bzw. fast keine Pickelprobleme mehr. Wenn welche kommen, dann ganz kleine am Kinn, die aber gleich wieder schwinden wenn ich Schwedenbitter auftrage. Beintechnisch siehts bei mir in etwas so aus: http://photo4.ask.fm/595/450/459/920003007-1rct8ro-cle43o1000io72f/preview/avatar.jpg
Sie sind sehr lange und es gehen relativ viel aus.
Sowie es aussieht gibts wohl einige, die trotz Dut noch immer wie ein Affe aussehen, auch nach 12 Monaten Einnahme. Da helfen dann wohl nur mehr noch die ganz harten Sachen wie E2 und Co.
Selbst viele Transfrauen müssen doch noch rasieren. Körperbehaarung scheint mir relativ robust gegenüber DHT-Mangel zu sein, wenn sie einmal da ist.
Bei mir hat sich leider noch kein einziges der gehassten Schulter oder Rückenhaare verabschiedet
Bißchen trockene Haut habe ich derzeit, vor allem an den Beinen. Aber keine Ahnung, ob das wirklich vom Dut ist, ähnliche Probleme hatte ich auch schonmal vorher.
Offtopic: Gestern mal wieder einen kollegen getroffen, der seit ~16 Jahren Fin nimmt. Haarstatus immer noch ziemlich gut, Hält seinen NW2 sehr solide.
[Aktualisiert am: Sa., 07 März 2015 16:02]
|
|
Den Beitrag einem Moderator melden
|
|
Aw: Dutasterid oral E5D [Beitrag #329286 ist eine Antwort auf Beitrag #329285] :: Sa., 07 März 2015 16:04 
|
Aristo084
Beiträge: 1804 Registriert: Juli 2013
|
cyclonus schrieb am Sat, 07 March 2015 15:59Aristo084 schrieb am Sat, 07 March 2015 15:25dito, keine bzw. fast keine Pickelprobleme mehr. Wenn welche kommen, dann ganz kleine am Kinn, die aber gleich wieder schwinden wenn ich Schwedenbitter auftrage. Beintechnisch siehts bei mir in etwas so aus: http://photo4.ask.fm/595/450/459/920003007-1rct8ro-cle43o1000io72f/preview/avatar.jpg
Sie sind sehr lange und es gehen relativ viel aus.
Sowie es aussieht gibts wohl einige, die trotz Dut noch immer wie ein Affe aussehen, auch nach 12 Monaten Einnahme. Da helfen dann wohl nur mehr noch die ganz harten Sachen wie E2 und Co.
Selbst viele Transfrauen müssen doch noch rasieren. Körperbehaarung scheint mir relativ robust gegenüber DHT-Mangel zu sein, wenn sie einmal da ist.
Bei mir hat sich leider noch kein einziges der gehassten Schulter oder Rückenhaare verabschiedet
Bißchen trockene Haut habe ich derzeit, vor allem an den Beinen. Aber keine Ahnung, ob das wirklich vom Dut ist, ähnliche Probleme hatte ich auch schonmal vorher.
Offtopic: Gestern mal wieder einen kollegen getroffen, der seit ~16 Jahren Fin nimmt. Haarstatus immer noch ziemlich gut, Hält seinen NW2 sehr solide.
Schulter und Rückenhaare muss ich auch alle Wochen entfernen, obwohl ich mit Dut oral bald ins 6. Monat komme. 3 Monate davon habe ichs jeden 2. Tag genommen.
|
|
Den Beitrag einem Moderator melden
|
|
Aw: Dutasterid oral E5D [Beitrag #329288 ist eine Antwort auf Beitrag #323034] :: Sa., 07 März 2015 16:18 
|
Lennox
Beiträge: 940 Registriert: März 2013 Ort: Berlin
|
Es gibt scheinbar doch den "Magical-Taking-Intervall" bei Dut, wo der Körper gar nicht upreguliert..
Leider bin ich wieder ziemlich pissed, hatte schon (fast) vergessen wie sich das anfühlt..
Gehe seit den letzten 3 Tagen durch ein huge shedding 200+
(die letzten 2 Monate waren ein deutlicher Aufwärtstrend)
Denke ich hab es übertrieben zuviel Dut und vor allem zu viel Minox
Weniger ist mehr wieso geht das nicht endlich in mein Kopf, wenn der Erfolg kommt will man immer mehr..
immer mehr
ich muss kühlen kopf bewahren im wahrsten sinne des Wortes zurück zu den Basics jeden 3 Tag 0,25 Dut
und gut ist Zermatter mir mein Kopf ob ich Minox wieder rauskicken soll
Topisch: Ket, Ru, Minox (Kopf) Tamox (Brust)
Oral: Dut 0,5/ Woche
sporadisch Arohemmer
Laserhelm
Never Change A Winning Team!
|
|
Den Beitrag einem Moderator melden
|
|
Aw: Dutasterid oral E5D [Beitrag #329292 ist eine Antwort auf Beitrag #323034] :: Sa., 07 März 2015 18:14 
|
Ambrose
Beiträge: 64 Registriert: August 2014
|
Hat jemand von euch eigentlich mit der Front Probleme (Diffus, GHEs, etc.) und kann mir sagen, ob Dut hier was bewirkt hat? Auf baldtruth und hairloss gibts einige Themen, in denen die Leute schreiben, dass Dut an der Front wesentlich besser wirkt als Fin. Manchen soll unter Fin sogar die Front kaputt gegangen sein und mit Dut konnten sie das wieder hinbekommen. Natürlich wachsen GHEs nicht mehr zu, aber eine Verbesserung solls in manchen Fällen schon geben. Wie ist das bei euch?
Ich hab vor ein paar Tagen mal wieder Bilder gemacht und obwohl mir echt viel ausfällt glaube ich noch immer, dass der Oberkopf (noch) nicht sichtbar dünner ist. Dafür wandern die GHEs immer höher und die Front wird spitzer, Schläfendreieck und der Bereich um die Ohren wird immer dünner... ist vermutlich nur eine Frage der Zeit bis der Oberkopf dann auch ausdünnt.
Finasterid 0,5mg/täglich seit Juni '15, Ket Shampoo 1-2x Woche seit Okt. '15 wieder dabei
Abgesetzt: Biotin (Okt. '14 bis März'15), Diclo (Dez. '14 bis März '15), Ket Shampoo (Nov. '14 bis Juni '15)
|
|
Den Beitrag einem Moderator melden
|
|
Aw: Dutasterid oral E5D [Beitrag #329301 ist eine Antwort auf Beitrag #329292] :: Sa., 07 März 2015 22:38 
|
cyclonus
Beiträge: 622 Registriert: Oktober 2012
|
Ambrose schrieb am Sat, 07 March 2015 18:14Hat jemand von euch eigentlich mit der Front Probleme (Diffus, GHEs, etc.) und kann mir sagen, ob Dut hier was bewirkt hat? Auf baldtruth und hairloss gibts einige Themen, in denen die Leute schreiben, dass Dut an der Front wesentlich besser wirkt als Fin. Manchen soll unter Fin sogar die Front kaputt gegangen sein und mit Dut konnten sie das wieder hinbekommen. Natürlich wachsen GHEs nicht mehr zu, aber eine Verbesserung solls in manchen Fällen schon geben. Wie ist das bei euch?
Ich hab vor ein paar Tagen mal wieder Bilder gemacht und obwohl mir echt viel ausfällt glaube ich noch immer, dass der Oberkopf (noch) nicht sichtbar dünner ist. Dafür wandern die GHEs immer höher und die Front wird spitzer, Schläfendreieck und der Bereich um die Ohren wird immer dünner... ist vermutlich nur eine Frage der Zeit bis der Oberkopf dann auch ausdünnt.
Ich bezeifle, dass Dut bei ungefähr gleicher Dosierung/DHT-Hemmng großartig mehr an der Front bewirkt. Aber Dut ist schlicht, ausreichend dosiert, DEUTLICH stärker als Fin. Möglich, dass es schon ein bißchen mehr bringt.
Gibt aber herzlich wenige Hinweise darauf, dass Dut im "Endresultat", also dem stabilen Haarstatus, den man damit erreichen kann, effektiver wäre als Fin.
|
|
Den Beitrag einem Moderator melden
|
|
Aw: Dutasterid oral E5D [Beitrag #329323 ist eine Antwort auf Beitrag #329292] :: So., 08 März 2015 02:37 
|
ru-power
Beiträge: 3827 Registriert: März 2013
|
Ambrose schrieb am Sat, 07 March 2015 18:14Hat jemand von euch eigentlich mit der Front Probleme (Diffus, GHEs, etc.) und kann mir sagen, ob Dut hier was bewirkt hat? Auf baldtruth und hairloss gibts einige Themen, in denen die Leute schreiben, dass Dut an der Front wesentlich besser wirkt als Fin. Manchen soll unter Fin sogar die Front kaputt gegangen sein und mit Dut konnten sie das wieder hinbekommen. Natürlich wachsen GHEs nicht mehr zu, aber eine Verbesserung solls in manchen Fällen schon geben. Wie ist das bei euch?
Ich hab vor ein paar Tagen mal wieder Bilder gemacht und obwohl mir echt viel ausfällt glaube ich noch immer, dass der Oberkopf (noch) nicht sichtbar dünner ist. Dafür wandern die GHEs immer höher und die Front wird spitzer, Schläfendreieck und der Bereich um die Ohren wird immer dünner... ist vermutlich nur eine Frage der Zeit bis der Oberkopf dann auch ausdünnt.
wirst du wohl ausprobieren müssen. komischerweise (habe ja eher wenig mit dem typischen ghe problem zutun,obwohl eine ghe hart angefressen bzw ausgedünnt war):
-war bei finbehanldung der GHE-Bereich immer von jucken begleitet, der rest bis auf der tonsurwirbel allerdings nicht
-mir NUR in diesen juckbereichen deutlich vermehrt haare ausgingen, beim Rest war sense mit HA
-sich das ganze mit RU-Start dann gelegt hat
-und mit dutasterid ebenso nicht juckt
-diese juckbereiche eine mind 2-3x so starke talgdrüsenaktivität hatten unter fin - seit ru und dut nix mehr
musst es ausprobieren. ich glaube aber nicht.. viel bringt viel..
wahrscheinlich wird sowas wie 2x 0,25fin + 1x 0,25dut für die meisten locker reichen. Mich lässt das gefühl nicht los dass der körper dann versucht über die 5ar1 auszugleichen und viele dann wieder ha bekommen.. daher bissl dut.. bissl fin.
NW0/1 seit Anfang 2013 - 30J
-> seit Behandlungsbeginn keine Verschlechterung/stetige Verbesserung
2x pro Woche Ketlotion nach Pilos (mit Dexpanthenol)
täglich: Sebamed Shampoo mit Piroctone Olamine
Meine Story in Kurzform:
https://www.alopezie.de/fud/index.php?t=msg&goto=426342/#msg_426342
abgesetzt: Dutasterid+ Finasterid
|
|
Den Beitrag einem Moderator melden
|
|
|
|
Aw: Dutasterid oral E5D [Beitrag #329328 ist eine Antwort auf Beitrag #329326] :: So., 08 März 2015 10:58 
|
cyclonus
Beiträge: 622 Registriert: Oktober 2012
|
kumulu schrieb am Sun, 08 March 2015 10:21so,
habe am donnerstag abend das erste mal überhaupt dut genommen.
1/4 tablette, also 0,125 mg.
war dann 2 tage ausser gefecht, extrem müde und kein antrieb.
seit gestern abend bin ich wieder halbwegs fit.
in ein paar wochen werde ich es mal mit 1/8 tablette probieren, also die hälfte einer viertel 
Das muss eigentlich schon eingebildet gewesen sein. Eine einzelne Viertel Dut, ja nichtmal eine einzelne Dut, hat so gut wie gar keine Wirkung. Es dauert teilweise Wochen, bis die DHT-Hemmung so richtig einsetzt.
|
|
Den Beitrag einem Moderator melden
|
|
|
|
Aw: Dutasterid oral E5D [Beitrag #329331 ist eine Antwort auf Beitrag #323034] :: So., 08 März 2015 11:31 
|
|
|
bin nun seit ca 1,5 jahren mit dut oral dabei. davor hatte ich ein jahr fin genommen. bzgl dut habe ich intas pillen und cipla kapseln gegesessen. über eine gewisse zeit lang sogar 3 bzw 5 am tag. leider konnte das meinen haarausfall nicht stoppen. da ich hier dann von der studie gelesen hatte, die von 99,4% behandlungserfolg mit dut 0,5mg sprach, hatte ich die indischen generika als fehlerquelle im verdacht. daraufhin bin ich zum hautarzt, habe dem was vorgeheult, ihm die studie gezeigt, und mir nen rezept für das original avodart geben lassen. davon esse ich nun seit 5 monaten eine täglich.
leider konnten auch die echten pillen keinen aga stopp bewirken. ich verliere weiterhin 100-200 haare täglich vom oberkopf. vertex+ghe lichten sich parallel. dazu muss ich aber sagen, dass meine gene wirklich sehr, sehr schlecht sind. die aga hat mit ~21 angefangen und ich kenne ein photo von meinem opa mütterlicherseits (von ihm stammt die aga) als er 28 jahre alt war und schon komplett kahl (nw 5). von dem was ich bisher gehört habe, ist ein kompletter aga verlauf in nur ~6 jahren relativ selten und als sehr aggressiver verlauf einzustufen. bei vielen (vorallem bei denen, die erst in einem späteren lebensabschnitt aga entwickeln) geht das ja teilweise über jahrzehnte.
zugleich muss ich aber anmerken, dass ich (bin jetzt 27) noch haare auf der birne habe. selbst in den lichten gebieten habe ich noch mindestens 50% dichte. dh, obwohl ich kein aga stopp erreichen konnte, wirken die medikamente in form einer signifikanten verlangsamung der aga. ich nehme an, dass dies bei jedem so ist. den klassischen nonresponder gibt es nicht. dht zu senken ist immer gut gegen aga. nur manchmal sind die gene halt so schlecht, bzw die haarfollikel so sensibel, dass selbst der reduzierte dht spiegel noch ausreicht, für eine fortlaufende miniaturisierung.
bzgl nebenwirkungen: ich habe eine leichte beidseitige gynäkomastie (vergrößerung des brustdrüsengewebes). dies könnte aber auch eine folge der perdiode gewesen sein, in der ich 3-5 dut am tag gegessen habe. dazu habe ich eine verminderte libido und teilweise potenzprobleme. die stehen aber in direkten zusammenhang mit der libido. ihr kennt es sicherlich auch, dass wenn ihr an dem tag schon drei mal nen orgasmus hattet, ihr beim vierten mal nicht mehr so richtig geil seid und der kleine freund auch nicht mehr 100% hart ist.
zudem leide ich dank der aga an depressionen, verlasse das haus kaum, komme also nicht an die sonne, treibe kein sport und esse dazu noch wenig und ungesund. ich nehme mal an, dass das alles faktoren sind, die in die libido mit rein spielen.
die sexuellen nebenwirkungen sind bei mir aber auch nicht so krass, wie es vlt klingen mag. ich stelle die these auf, dass 0,5mg dut für den durschnittskerl mit normalem lebensstil durchaus verkraftbar sind. vlt wird er sich am tag im durschnitt einmal weniger einen von der palme wedeln, aber es ist nicht der fall, dass "sex unmöglich wird" oder sonstige horrorgeschichten, die man hier so hört. man muss sich immer noch vor augen führen, dass es sich um ein sicheres, getestetes und häfig verschriebenes medikament handelt. nichtsdestotrotz ist es natürlich ein stärkeres medikament, als fin, und ich würde es als ziemlich dumm ansehen, dut zu nehmen, bevor nicht zweifelsfrei geklärt ist, ob fin nicht auch hilft. immerhin erreicht fin bei knapp 85% der anwender zumindest einen aga stopp. also immer erstmal ca ein jahr fin nehmen, haarstatus in der zeit mit photos dokumentieren, und danach gucken, wo man steht.
bezüglich aller anderer nebenwirkungen, von denen hier so erzählt wird, bin ich sehr skeptisch. nach meinem empfinden gibt es hier bei ausnahmslos jedem wirkstoff das gleiche nebenwirkungen-bullshit-bingo, auch wenn die wirkungsweisen zuweilen komplett verschieden sind. beispiele: fetteinlagerung in der brust, fetteinlagerung im gesicht, verstärkung des haarausfalls, schlechteres sehvermögen, "eingefallene" augen, veränderung der gesichtszüge, "brainfog", kopfschmerzen, zunahme der restlichen körperbehaarung, abnahme der restlichen körperbehaarung, trägheitsgefühl, usw.
dazu gibr es dann natürlich noch gleich die passende erklärung ala: "ist doch klar: estradiol geht hoch wegen upregulation und deswegen webliche gesichtszüge". sätze in diese richtung liest man hier andauernd. völlig unwissenschaftlich irgendwelche sachen, die man mal gelesen hat, oder user xy erzählt hat, werden zusammengeschmissen und daraus wird eine universelle wahrheit gemacht. dazu gibts hier dann noch genug leute, die der meinung sind, ärzte und professoren hätten von dem thema haarausfall und hormomen ja eh keine ahnung...
leute ganz ehrlich, macht euch nicht verrückt und lasst euch nicht verrückt machen. bedient euch eurer vernunft.
wenn ihr dut nehmt, achtet auf die von mir angesprochenen (und auf dem beipackzettel vermerkten) nebenwirkungen: lipido, potenz und brustdrüsengewebe. gleiches gilt für fin, in abgeschwächter form. zudem ist eine gynäkomastie nochmal deutlich unwahrscheinlicher. von dem ganzen topischen zeugs, würde ich generell wenig erwarten. sowohl was wirkung, sowie nebenwirkungen angeht.
in diesem sinne wünsche ich jedem viel erfolg mit einer eigenen aga behandlung und dass sich keiner wegen der nebenwirkungen verrückt macht.
mfg
[Aktualisiert am: So., 08 März 2015 11:33]
|
|
Den Beitrag einem Moderator melden
|
|
Aw: Dutasterid oral E5D [Beitrag #329337 ist eine Antwort auf Beitrag #323034] :: So., 08 März 2015 13:04 
|
Ambrose
Beiträge: 64 Registriert: August 2014
|
Danke für eure Antworten.
Die große Frage die sich mir stellt ist halt, was ich mache. Mittlerweile sind die GHEs so, dass sie mich stören, es aber schon noch okay ist. Bin jetzt 24, wenn der Status mit 30 noch so ist, ist er vermutlich besser, als bei vielen anderen rund um 30. Also keine Katastrophe. Aber ich will nun schon was dagegen tun, um das Tempo wenigstens zu verlangsamen. Am liebsten natürlich halten und die Front wieder ein wenig stabilisieren.
Topisch ist nix für mich. Das merke ich nun schon bei den Cremes die ich bisher so probiert habe. Die muss ich mir nur auf die Front schmieren und gut, aber selbst das halte ich nur ein paar Wochen konsequent durch bis ich immer öfter aussetze. Mit Ru brauch ich also gar nicht anfangen, weil das noch viel stressiger ist. Könnte mir nun einreden dass ich das sicher durchziehe, aber eigentlich weiß ich halt, dass es nicht so sein wird. Macht also keinen Sinn.
Und zum Schlucken bleiben dann ja nur Fin und Dut. Von euch schreiben in letzter Zeit viele, dass ihr mit Dut zufriedener seid, als mit Fin. Bessere/Schnellere Wirkung bei gleichzeitig weniger NWs. Klar, alles individuell, aber ihr habt Fin zum Großteil schon mal probiert und beschreibt das bezüglich Dut ziemlich ähnlich. Deswegen tendiere ich schon dazu, einfach gleich Dut zu nehmen... Dann hab ich gleich so ziemlich das stärkste das es gibt und wenns ohne krasse NWs wirkt hab ich mal ein paar Jahre ruhe. Nehme ich Fin kann das ja auch gut klappen, aber ich hätte immer im Hinterkopf, dass Dut vielleicht noch eine Ecke besser wäre und würde weiter grübeln, ob ichs nicht doch mal probieren soll...
Glaube bei dir war das ähnlich, ru-power. Du hast auch alles mögliche durchprobiert, warst zuletzt mit Ru & co. ziemlich zufrieden und hast trotzdem immer gesagt, dass du Dut auch noch testen willst und das nun auch gemacht. Diese ganzen Zwischenschritte könnte ich mir halt sparen, wenn ich gleich mit Dut anfange.
[Aktualisiert am: So., 08 März 2015 13:05]
Finasterid 0,5mg/täglich seit Juni '15, Ket Shampoo 1-2x Woche seit Okt. '15 wieder dabei
Abgesetzt: Biotin (Okt. '14 bis März'15), Diclo (Dez. '14 bis März '15), Ket Shampoo (Nov. '14 bis Juni '15)
|
|
Den Beitrag einem Moderator melden
|
|
Aw: Dutasterid oral E5D [Beitrag #329339 ist eine Antwort auf Beitrag #329328] :: So., 08 März 2015 13:39 
|
ru-power
Beiträge: 3827 Registriert: März 2013
|
cyclonus schrieb am Sun, 08 March 2015 10:58kumulu schrieb am Sun, 08 March 2015 10:21so,
habe am donnerstag abend das erste mal überhaupt dut genommen.
1/4 tablette, also 0,125 mg.
war dann 2 tage ausser gefecht, extrem müde und kein antrieb.
seit gestern abend bin ich wieder halbwegs fit.
in ein paar wochen werde ich es mal mit 1/8 tablette probieren, also die hälfte einer viertel 
Das muss eigentlich schon eingebildet gewesen sein. Eine einzelne Viertel Dut, ja nichtmal eine einzelne Dut, hat so gut wie gar keine Wirkung. Es dauert teilweise Wochen, bis die DHT-Hemmung so richtig einsetzt.
eineeinzelne 5mg fin pille oder gar 1mg pille ballert dein dht binnen 24h übel runter .. ca 60% hemmung
zu den anderen:
ich hab alle 3 ausprobiert und das stärkste ist ru in kombi mit dut oral. da fällt dir nix mehr aus.. wie es jez is wenn man noch mehr dut nimmt weiß ich nicht. aber das werde ich auch in meinem leben nichtmehr ausprobiern^^
NW0/1 seit Anfang 2013 - 30J
-> seit Behandlungsbeginn keine Verschlechterung/stetige Verbesserung
2x pro Woche Ketlotion nach Pilos (mit Dexpanthenol)
täglich: Sebamed Shampoo mit Piroctone Olamine
Meine Story in Kurzform:
https://www.alopezie.de/fud/index.php?t=msg&goto=426342/#msg_426342
abgesetzt: Dutasterid+ Finasterid
|
|
Den Beitrag einem Moderator melden
|
|
Aw: Dutasterid oral E5D [Beitrag #329343 ist eine Antwort auf Beitrag #329328] :: So., 08 März 2015 14:26 
|
Haar2O
Beiträge: 5242 Registriert: Januar 2012
Power Member ***** 
|
cyclonus schrieb am Sun, 08 March 2015 10:58
Das muss eigentlich schon eingebildet gewesen sein. Eine einzelne Viertel Dut, ja nichtmal eine einzelne Dut, hat so gut wie gar keine Wirkung. Es dauert teilweise Wochen, bis die DHT-Hemmung so richtig einsetzt.
Das ist ziemlicher Schwachsinn....sowohl bei Fin als auch Dut wird die Reduktion zu DHT mit sofortiger Wirkung unterbunden sobald sich das Fin/Dut-Molekül im System befindet. Da gibt es sogar eine nette Grafik hier im Forum zu die das ganze nochmal bildlich veranschaulicht.
Dutasterid oral - testweise 2,5 mg daily
|
|
Den Beitrag einem Moderator melden
|
|
Aw: Dutasterid oral E5D [Beitrag #329346 ist eine Antwort auf Beitrag #329337] :: So., 08 März 2015 15:09 
|
|
|
Ambrose schrieb am Sun, 08 March 2015 13:04Danke für eure Antworten.
Die große Frage die sich mir stellt ist halt, was ich mache. Mittlerweile sind die GHEs so, dass sie mich stören, es aber schon noch okay ist. Bin jetzt 24, wenn der Status mit 30 noch so ist, ist er vermutlich besser, als bei vielen anderen rund um 30. Also keine Katastrophe. Aber ich will nun schon was dagegen tun, um das Tempo wenigstens zu verlangsamen. Am liebsten natürlich halten und die Front wieder ein wenig stabilisieren.
Topisch ist nix für mich. Das merke ich nun schon bei den Cremes die ich bisher so probiert habe. Die muss ich mir nur auf die Front schmieren und gut, aber selbst das halte ich nur ein paar Wochen konsequent durch bis ich immer öfter aussetze. Mit Ru brauch ich also gar nicht anfangen, weil das noch viel stressiger ist. Könnte mir nun einreden dass ich das sicher durchziehe, aber eigentlich weiß ich halt, dass es nicht so sein wird. Macht also keinen Sinn.
Und zum Schlucken bleiben dann ja nur Fin und Dut. Von euch schreiben in letzter Zeit viele, dass ihr mit Dut zufriedener seid, als mit Fin. Bessere/Schnellere Wirkung bei gleichzeitig weniger NWs. Klar, alles individuell, aber ihr habt Fin zum Großteil schon mal probiert und beschreibt das bezüglich Dut ziemlich ähnlich. Deswegen tendiere ich schon dazu, einfach gleich Dut zu nehmen... Dann hab ich gleich so ziemlich das stärkste das es gibt und wenns ohne krasse NWs wirkt hab ich mal ein paar Jahre ruhe. Nehme ich Fin kann das ja auch gut klappen, aber ich hätte immer im Hinterkopf, dass Dut vielleicht noch eine Ecke besser wäre und würde weiter grübeln, ob ichs nicht doch mal probieren soll...
Glaube bei dir war das ähnlich, ru-power. Du hast auch alles mögliche durchprobiert, warst zuletzt mit Ru & co. ziemlich zufrieden und hast trotzdem immer gesagt, dass du Dut auch noch testen willst und das nun auch gemacht. Diese ganzen Zwischenschritte könnte ich mir halt sparen, wenn ich gleich mit Dut anfange.
nochmal, in meinen augen ist es völlig sinnfrei mit dut anzufangen. allen voran, wenn dein haarstatus mit 24 noch gut ist. denn das zeugt davon dass du wahrscheinlich keine besonders aggressive aga hast, dh es ist sehr wahrscheinlich, dass fin deinen status halten würde. höchst wahrscheinlich bringt dir fin und dut genau das gleiche resultat.
generell ist es immer besser, so wenig wie möglich in deinen körper (hier hormonhaushalt) einzugreifen. fin hämmt nur eine art von dht und diese schwächer als dut. darum hat fin ja auch das bessere nebenwirkungsprofil.
zudem ist fin deutlich billiger und kann in der deutschen apotheke gekauft werden, anstatt von dubiosen (und illegalen?) internetseiten.
demzufolge ist es unnötig und unvernünftig mit dut anzufangen.
[Aktualisiert am: So., 08 März 2015 15:10]
|
|
Den Beitrag einem Moderator melden
|
|
|
|
|
|
|
|
Aw: Dutasterid oral E5D [Beitrag #329405 ist eine Antwort auf Beitrag #329404] :: Mo., 09 März 2015 13:50 
|
kumulu
Beiträge: 169 Registriert: Februar 2007
|
coole Sache, danke 
sag, hast du dir den Artikel gekauft?
denn, ab seite 2 kann ich den nur verschwommen lesen, steht bezahlpflicht dabei.
seh ich das richtig in dieser grafik,
daß eine einmalige gabe von 5mg fin viel wirksamer den dht Level senkt, als eine einmalige gabe von 0,1 duta?
bezieht sich das auf das Serum dht oder das dht in der haut?
denn lt folgendem link hemmen über eine längeren Zeitraum 5mg fin ja ähnlich viel dht wie 0,1mg duta, nämlich ca. 70% im Serum.
auszug aus folgendem link:
-------------------------------------------
http://www.regrowth.com/remedies/phase-ii-fda-hair-loss-study-results-for-avodart-dutasteride/
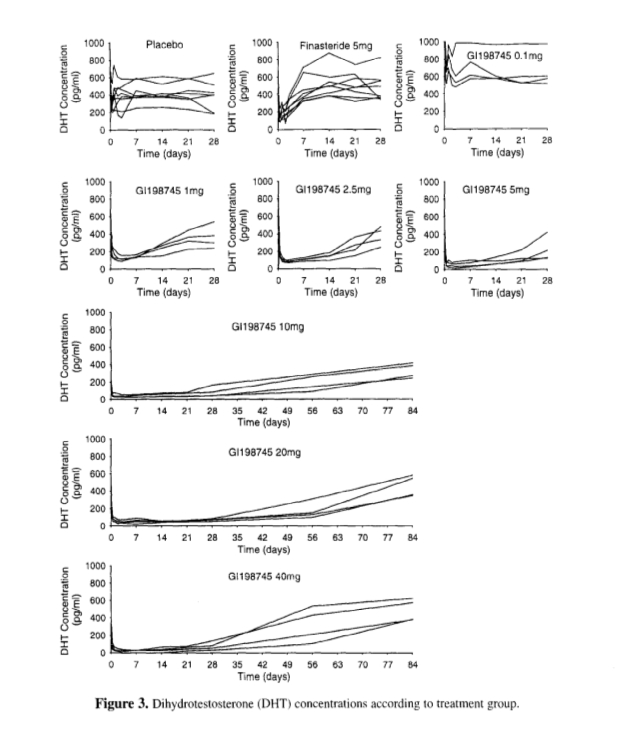
Both Serum (level circulating in the blood) Testosterone and Dihydrotestosterone were measured to evaluate Dutasteride's performance in comparison to Finasteride and placebo. The results showed that the placebo showed no inhibition, 5mg Finasteride was similar to the 0.1mg dose of Dutasteride for serum DHT inhibition (about 70%), -
[Aktualisiert am: Mo., 09 März 2015 14:15]
|
|
Den Beitrag einem Moderator melden
|
|
Aw: Dutasterid oral E5D [Beitrag #329407 ist eine Antwort auf Beitrag #323034] :: Mo., 09 März 2015 14:56 
|
Reefa
Beiträge: 205 Registriert: August 2014
|
Gibt es auch irgendwo Studien die zeigen, was niedrige Dut-Menge für eine DHT-Senkung bewirken? Also bei ca. 0,01 mg Dut. Was ich immer sehe ist, dass 0,01 mg getestet wurde, aber wie viel das gebracht hat steht nirgendwo. Bisher habe ich nur was für 0,05mg gefunden. Hat jemand dazu vll irgendwas oder kann das abschätzen?
- RU 50mg / 5%
- Dermaroller 1,5mm bi-weekly
--------------------------------------------
abgesetzt: Dut-Topical, Mino, Seti, Thiocy
--------------------------------------------
persönlicher Thread:
https://www.alopezie.de/fud/index.php?t=msg&goto=381441/
|
|
Den Beitrag einem Moderator melden
|
|
Aw: Dutasterid oral E5D [Beitrag #329423 ist eine Antwort auf Beitrag #329407] :: Mo., 09 März 2015 18:17 
|
PeterNorth
Beiträge: 2808 Registriert: Dezember 2012 Ort: Auxburg
|
Reefa schrieb am Mon, 09 March 2015 14:56Gibt es auch irgendwo Studien die zeigen, was niedrige Dut-Menge für eine DHT-Senkung bewirken? Also bei ca. 0,01 mg Dut. Was ich immer sehe ist, dass 0,01 mg getestet wurde, aber wie viel das gebracht hat steht nirgendwo. Bisher habe ich nur was für 0,05mg gefunden. Hat jemand dazu vll irgendwas oder kann das abschätzen?
das mit 0.1mg wäre interessant.
dosieren kann man das am besten, wenn man DUT Tabs im Wodka löst und dann tropfenweise dosiert. z.B.
4 DUT Tabs in 20ml Wodka lösen = 2mg DUT / 20ml = 0,1mg /1ml
= 0,1mg DUT in 20 Tropfen
mit Pipette kann man das supergenau dosieren und hat die blöde Tablettenteilerei nicht wo die hälfte daneben geht
|
|
Den Beitrag einem Moderator melden
|
|
Aw: Dutasterid oral E5D [Beitrag #329430 ist eine Antwort auf Beitrag #329423] :: Mo., 09 März 2015 18:47 
|
Eels
Beiträge: 250 Registriert: September 2013
|
PeterNorth schrieb am Mon, 09 March 2015 18:17Reefa schrieb am Mon, 09 March 2015 14:56Gibt es auch irgendwo Studien die zeigen, was niedrige Dut-Menge für eine DHT-Senkung bewirken? Also bei ca. 0,01 mg Dut. Was ich immer sehe ist, dass 0,01 mg getestet wurde, aber wie viel das gebracht hat steht nirgendwo. Bisher habe ich nur was für 0,05mg gefunden. Hat jemand dazu vll irgendwas oder kann das abschätzen?
das mit 0.1mg wäre interessant.
dosieren kann man das am besten, wenn man DUT Tabs im Wodka löst und dann tropfenweise dosiert. z.B.
4 DUT Tabs in 20ml Wodka lösen = 2mg DUT / 20ml = 0,1mg /1ml
= 0,1mg DUT in 20 Tropfen
mit Pipette kann man das supergenau dosieren und hat die blöde Tablettenteilerei nicht wo die hälfte daneben geht
Sicher eine gute Sache.Würde mich interessieren wer hier seine Tabletten im Alk löst anstatt sie zu teilen?Liebäugle schon auch einwenig mit dieser Variante.
RU 2-3mal wöchentlich
FIN 2mal/1mg wöchentlich
Biotin
D3/K2
Zink/Kupfer
Eisen
Selen
Vitamin A
L Arginin L Citrullin
Omega 3
|
|
Den Beitrag einem Moderator melden
|
|
Aw: Dutasterid oral E5D [Beitrag #329440 ist eine Antwort auf Beitrag #329423] :: Mo., 09 März 2015 21:25 
|
Reefa
Beiträge: 205 Registriert: August 2014
|
PeterNorth schrieb am Mon, 09 March 2015 18:17Reefa schrieb am Mon, 09 March 2015 14:56Gibt es auch irgendwo Studien die zeigen, was niedrige Dut-Menge für eine DHT-Senkung bewirken? Also bei ca. 0,01 mg Dut. Was ich immer sehe ist, dass 0,01 mg getestet wurde, aber wie viel das gebracht hat steht nirgendwo. Bisher habe ich nur was für 0,05mg gefunden. Hat jemand dazu vll irgendwas oder kann das abschätzen?
das mit 0.1mg wäre interessant.
dosieren kann man das am besten, wenn man DUT Tabs im Wodka löst und dann tropfenweise dosiert. z.B.
4 DUT Tabs in 20ml Wodka lösen = 2mg DUT / 20ml = 0,1mg /1ml
= 0,1mg DUT in 20 Tropfen
mit Pipette kann man das supergenau dosieren und hat die blöde Tablettenteilerei nicht wo die hälfte daneben geht
Ich meine schon 0,01 mg und nicht 0,1 mg. Dazu fällt mir ein, dass ich eine Studie gesehen habe, wo 0,1 mg Dut genauso wirken sollen wie 5mg Fin. Glaubt ihr das stimmt ?
- RU 50mg / 5%
- Dermaroller 1,5mm bi-weekly
--------------------------------------------
abgesetzt: Dut-Topical, Mino, Seti, Thiocy
--------------------------------------------
persönlicher Thread:
https://www.alopezie.de/fud/index.php?t=msg&goto=381441/
|
|
Den Beitrag einem Moderator melden
Nächste Seite
|
|